Template_Home_01 
Polímeros Líquidos
 
Desempenho do Polímero MS

O polímero MS da Kaneka é uma resina de base para a produção de selantes e adesivos de qualidade para construção e uso industrial. Suas propriedades únicas permitem ao selante MS (selante com base nos polímeros MS da Kaneka) oferecer um excelente desempenho, amplamente reconhecido por aplicadores e arquitetos em todo o mundo. As propriedades inerentes do selante MS podem ser resumidas da seguinte forma:
 

FACILIDADE NO MANUSEIO/ OPERACIONALIDADE
MSPoly-App-Handling   O selante MS é fácil de usar: pode ser extrudado de cartuchos com uma baixa força, mesmo em baixas temperaturas. Um fluxo contínuo de selante com viscosidade estável é o padrão. Além disso, o nivelamento e trabalho da junta são mais fáceis com o selante MS do que com qualquer outro tipo de selante.
 

ADESÃO
MSPoly-Perform-AdhesionSM   (Clique na foto para ampliar)
Os selantes MS apresentam uma boa adesão sem primers a uma ampla gama de substratos que são comumente usados na construção e indústria, tais como PVC, alumínio, vidro, aço, cerâmica, madeira compensada e muitos dos materiais recém-desenvolvidos para construção.
 

RESISTÊNCIA A INTEMPÉRIES
MSPoly-Perform-WeatherLG   (Clique na foto para ampliar)
A resistência a intempéries naturais, como chuva e raios UV, é uma das vantagens do selante MS que permite o uso de selantes ao ar livre, mesmo em condições climáticas adversas. O selante MS não apresenta rachaduras após a exposição a raios UV. A elasticidade do selante é mantida ao longo do tempo, mesmo anos após a aplicação.
 

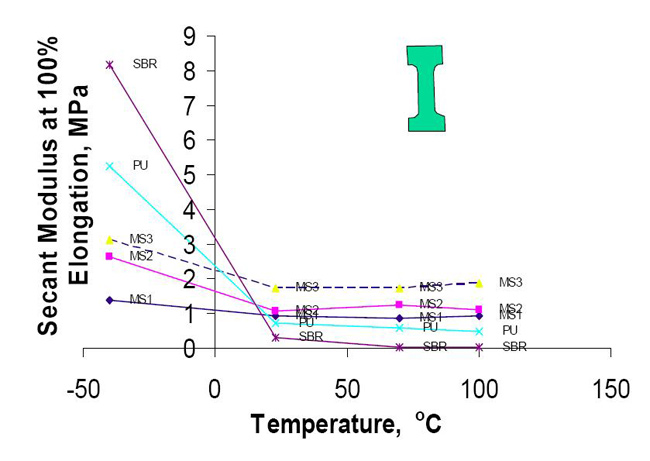
PROPRIEDADES MECÂNICAS DE ALTA QUALIDADE
MSPoly-Perform-HighQuality   (Clique na foto para ampliar)
O selante MS possui excelentes propriedades mecânicas, incluindo: elasticidade estável em uma ampla faixa de temperatura (-40 °C a 100 °C) e estabilidade duradoura. A tecnologia MS permite aos formuladores personalizar de um selante muito baixo módulo com 100% módulo a 60 psi, até um adesivo de muito alta resistência , com força de cisalhamento de 1.500 psi.
 

AUSÊNCIA DE BOLHAS
MSPoly-Perform-Non-BubblingLG   (Clique na foto para ampliar)
O selante MS não cria bolhas na superfície. A superfície do selante é mantida suave e intacta. Uma junta constante e ininterrupta é facilmente atingida.
 

AUSÊNCIA DE MANCHAS
MSPoly-Perform-StainingLG   (Clique na foto para ampliar)
Podem ser obtidas excelentes características ausentes de manchas com o selante MS. Os substratos porosos utilizados na construção, como granito e mármore, podem ser selados com uma ampla gama de selantes MS com baixo risco de contaminação da superfície da pedra.
 

COMPATIBILIDADE DE PINTURA
MSPoly-Perform-PaintLG   (Clique na foto para ampliar)
A compatibilidade com muitos tipos de tinta é apreciada por muitos usuários na indústria e na construção. O selante MS é compatível com muitos tipos de tintas e revestimentos. O selante MS pode ser imediatamente pintado após a aplicação. O tempo de cura é relativamente rápido, dentro do razoável.
 

UNIVERSAL
MSPoly-Perform-universe   O selante MS pode ser usado para uma grande variedade de aplicações. Um único produto pode ser usado para impermeabilização, ligação, vedação... e pode ser aderido em diferentes substratos ao mesmo tempo. Não há necessidade de comprar um selante em separado para cada aplicação.
 

 

 

   Template_Home_01
    Materiais
  space
  Polímeros de alta
performance

      Modificadores
 
    Auxiliares de Processamento
 
      Aditivos especiais
 
  Elastômeros
 
  Polímeros líquidos
      Polímeros MS Kaneka
      Desempenho do polímero MS
      Aplicações de polímero MS
    da Kaneka
      Kaneka XMAP
      KaneAce MX
      Kanevinyl™ da série M
 
  Vinílicos
 
       PVC especial
 
       VC reticulado
 
       CPVC
 
  Filmes técnicos

      Biopolímeros

    Qualidade de Vida
  space
  Espumas Plásticas

  Fibras Sinteticas

    Ciências da agriculturaios
  space


    Health Care
  space
  Dispositivos médicos

      ED COIL ∞10
 
     Thrombuster
 
  Suplementos alimentares
 
      Kaneka Ubiquinol
 
      Kaneka Q10®



HOME   EMPRESA  KANEKA GLOBAL PRODUTOS   NOTĺCIAS POLÍTICA DE PRIVACIDADE CONTATO 


 
 KanekaLogo
 
 ©KANEKA Corporation Todos os direitos reservados